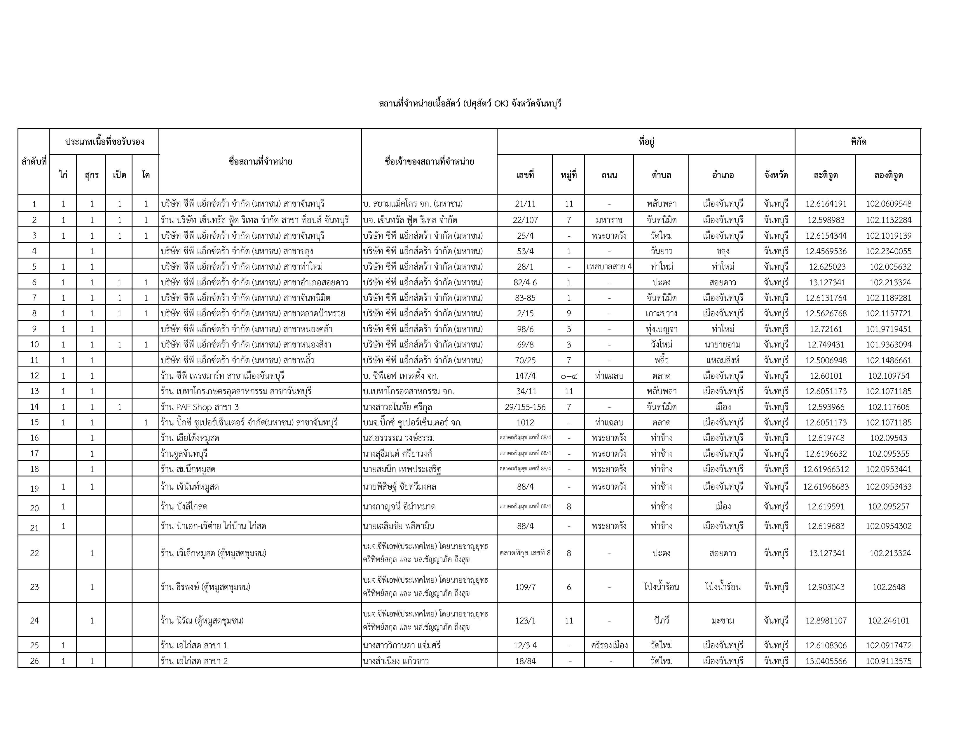
รายชื่อสถานที่จำหน่ายเนื้อสัตว์ที่ได้รับการรับรองโครงการเนื้อสัตว์ปลอดภัย ใส่ใจผู้บริโภค (ปศุสัตว์ OK) ในจังหวัดจันทบุรี